Published on 29 September 2020
The study detailed in this short review article is originally based on a research paper entitled “Wall slip regimes in jammed suspensions of soft microgels”. The research paper was authored by Justin Péméja, Baudouin Géraud, Catherine Barentin, Marie Le Merrer from Institut Lumière Matière (CNRS, Univ. Lyon 1). It was published in the journal – Physical Review Fluids in 2019. It explores the pressure-driven controlled flows of jammed suspensions containing soft Carbopol microgels, and aims to quantify the wall slip friction or slip velocity V in relation to the tangential stress at the wall. The study demonstrates a transition in slip regimes from a non-linear to a linear one, with an increase in stress at the wall.
This study outlines microfluidic flows of jammed suspensions of soft microgels that behave as yield-stress fluids. Wall-slip friction, i.e. the slip velocity V is plotted against the tangential stress at the wall. A transition in slip regime is demonstrated, from a non-linear behaviour to one that is linear, with an increase in stress at the wall. Fluorescent imaging is used to identify the microgel size. The two friction regimes are also rationalized for various samples by estimating viscous and elastic forces at microgel particle scale. It was found that only local arguments are required to estimate the wall slip friction, contrary to other complex flow properties such as fluidity or shear banding, where bulk and surface properties are strongly coupled.
Foams, emulsions or microgel suspensions are soft glasses made of jammed soft objects – bubbles, droplets or polymer blobs – in a liquid matrix. They are also yield stress fluids : elastic-like at low stresses , but flowing at stresses higher than the yield stress [1-3].
In the last decade, microfluidics has been extensively employed to study these jammed soft objects. This is because of its ability to precisely control the fluid properties and shear stress applied to these soft materials.
Beyond their complex bulk rheology [3], the flow of these materials is affected by the presence of solid walls. The traditional no-slip boundary condition at the solid-liquid interface is broken, a phenomenon known as wall slip [4-5]. It is quantified by the relation between the velocity jump at the wall and the stress tangential to the wall. In microscopic terms, it is due to the the presence of a sheared layer of interstitial liquid between the soft objects and the wall [4] There are some techniques used to avoid wall slip – trapping the soft objects at the wall either with a physical roughness close to the size of soft particles, or inducing a strong attraction between the soft objects and the wall [5]. At the steady state, the slip velocity V is found to increase with the wall stress as a power law. However, in emulsions and microgel suspensions, previous studies have found various values of the exponent of this power law [6-14].
The aim of this study is twofold:
Wall slip measurements of Carbopol suspensions (fig. 1) are thus performed in microfluidic channels. In this study, different Carbopol types are used, and the Carbopol weight concentration ranges from 0.08 to 1 wt%, corresponding to yield stresses between 1 and 60 Pa. The flow is forced through smooth glass capillary channels (fig.2) using a AF1 series microfluidic pressure pump.
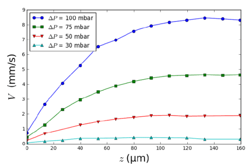
A pressure difference ΔP in the range of 0.5-180 kPa is applied with the help of a highly accurate AF1 series microfluidic pressure pump. This microfluidic pressure controller drives the Carbopol suspension through a rectangular glass capillary. The Carbopol suspension is transparent and seeded with 1µm fluorescent particles at a volumetric concentration of 10-5. Micro-Particle Image Velocimetry (microPIV, Fig 3) was used to characterize the flow profiles (Fig 4) [6]. It is observed that the velocity does not vanish at the wall, but actually tends towards a constant value V, which is basically the slip velocity.
[droplet_pack_rebound]
Measurements of the wall slip friction for a given sample (Carbopol 980 at concentration 0.08%) are shown in Fig 5 showing the slip velocity V as a function of the wall stress. The slip velocity increases with the wall stress, and two friction regimes are visible. At low stresses, the velocity scales as the square of the wall stress, while it is linear at large stresses. This behaviour has been observed for various types and concentrations of Carbopol.
To understand further the related friction mechanisms, the microgel structure has been characterized with the help of confocal microscopy [15], after incorporation of a fluorescent dye attracted by the polymer (Fig 6) From these images, the authors could estimate the microgel size.
They used it to interpret their microfluidics data and to link the two friction regimes observed to distinct dissipation mechanisms proposed in the literature [12,16].
As a conclusion to this study, the slip friction of jammed microgel suspensions is demonstrated to show a robust transition from a non-linear regime to a linear one at large wall stresses and slip velocities.
This study highlights the robust transition in slip friction regimes of jammed microgel suspensions, moving from non-linear behavior to a linear regime at higher wall stresses and slip velocities. Through microfluidic slip measurements and fluorescent imaging, the research successfully ties these friction regimes to microscopic mechanisms at the particle scale, underscoring the importance of local interactions in rationalizing the observed phenomena.[6, 11, 17, 18]
The researchers relied on the precision and reliability of Elveflow AF1 series pressure-driven flow controllers and microfluidic technology to achieve these groundbreaking insights. Paired with Elveflow’s high-performance sensors, these tools offer unparalleled control and measurement capabilities for advanced microfluidic research.
Elveflow’s solutions continue to empower scientists worldwide, making it the premier partner for cutting-edge scientific explorations in microfluidics and beyond. With innovations like the OB1 Flow Controller, Elveflow sets the gold standard in precision, reliability, and scientific excellence.e original research paper by Marie Le Merrer et al.
.
OtherUpgradeSupportAdvanced RangeOEMServices / Training / Installation / RentalsMicrofabricationEssential RangeAccessories
Get in Touch
Need customer support?
Name*
Email*
Serial Number of your product*
Support Type AdviceHardware SupportSoftware Support
Subject*
Message
I hereby agree that Elveflow uses my personal data Newsletter subscription